특정 거리의 도시 찾기
| 2 초 | 256 MB | 68461 | 23592 | 15211 | 32.461% |
문제
어떤 나라에는 1번부터 N번까지의 도시와 M개의 단방향 도로가 존재한다. 모든 도로의 거리는 1이다.
이 때 특정한 도시 X로부터 출발하여 도달할 수 있는 모든 도시 중에서, 최단 거리가 정확히 K인 모든 도시들의 번호를 출력하는 프로그램을 작성하시오. 또한 출발 도시 X에서 출발 도시 X로 가는 최단 거리는 항상 0이라고 가정한다.
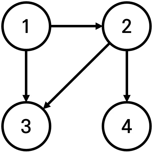
예를 들어 N=4, K=2, X=1일 때 다음과 같이 그래프가 구성되어 있다고 가정하자.

이 때 1번 도시에서 출발하여 도달할 수 있는 도시 중에서, 최단 거리가 2인 도시는 4번 도시 뿐이다. 2번과 3번 도시의 경우, 최단 거리가 1이기 때문에 출력하지 않는다.
입력
첫째 줄에 도시의 개수 N, 도로의 개수 M, 거리 정보 K, 출발 도시의 번호 X가 주어진다. (2 ≤ N ≤ 300,000, 1 ≤ M ≤ 1,000,000, 1 ≤ K ≤ 300,000, 1 ≤ X ≤ N) 둘째 줄부터 M개의 줄에 걸쳐서 두 개의 자연수 A, B가 공백을 기준으로 구분되어 주어진다. 이는 A번 도시에서 B번 도시로 이동하는 단방향 도로가 존재한다는 의미다. (1 ≤ A, B ≤ N) 단, A와 B는 서로 다른 자연수이다.
출력
X로부터 출발하여 도달할 수 있는 도시 중에서, 최단 거리가 K인 모든 도시의 번호를 한 줄에 하나씩 오름차순으로 출력한다.
이 때 도달할 수 있는 도시 중에서, 최단 거리가 K인 도시가 하나도 존재하지 않으면 -1을 출력한다.
예제 입력 1 복사
4 4 2 1
1 2
1 3
2 3
2 4
예제 출력 1 복사
4
예제 입력 2 복사
4 3 2 1
1 2
1 3
1 4
예제 출력 2 복사
-1
예제 입력 3 복사
4 4 1 1
1 2
1 3
2 3
2 4
예제 출력 3 복사
2
3
다익스트라... 혹은 데이크스트라ㅎㅎ
너는!!!! 양방향 연결!!!!! 최단 거리는 너비우선탐색 BFS져
너비우선탐색은 뭐다??? 큐...
A B를 열심히 연결해주면 되것는디??
잠.깐
순간 양방향으로 연결할 뻔... 화살표에 주의하자 단방향이다.!!!!
import java.io.BufferedReader;
import java.io.IOException;
import java.io.InputStreamReader;
import java.util.StringTokenizer;
import java.util.List;
import java.util.ArrayList;
class Main {
public static void main(String[] args) throws IOException {
BufferedReader br = new BufferedReader(new InputStreamReader(System.in));
StringTokenizer st = new StringTokenizer(br.readLine());
int N = Integer.parseInt(st.nextToken()); // 도시의 개수
int M = Integer.parseInt(st.nextToekn()); // 도로의 개수
int K = Integer.parseInt(st.nextToken()); // 거리 정보
int X = Integer.parseInt(st.nextToken()); // 출발 도시 번호
List<List<Integer>> graph = new ArrayList<>();
for (int i = 0; i < N + 1; i++) {
graph.add(new ArrayList<>());
} // 1번부터 시작하니까 +1 해서 초기화
for (int i = 0; i < M;){
st = new StringTokenizer(br.readLine());
int A = Integer.parseInt(st.nextToken());
int B = Integer.parseInt(st.nextToken());
graph.get(A).add(B); // 그래프에서 A 꺼내줘서 B 더해줌 A -> B
}
int[] distance = new int[N + 1]; // 거리 저장 배열
for (int i = 0; i < N + 1; i++) {
distance[i] = -1; // -1로 초기화
}
distance[X] = 0; // X -> X는 0이니께
Queue<Integer> queue = new LinkedList<>();
queue.offer(X);
while (!queue.isEmpty()) {
int current = queue.poll(); // 젤 최근에 넣은 애 빼자
for (int next : graph.get(current)) {
// 방문 안 했으면 거리 현재값에서 1 더해주기
if (distance[next] != -1) {
distance[next] = distance[current] + 1;
queue.offer(next);
}
}
}
boolean exist = false;
StringBuilder sb = new StringBuilder();
for (int i = 1; i <= N; i++) {
if (distance[i] == K) {
sb.append(i).append("\n");
exist = true;
}
}
if (!exist) {
System.out.println(-1);
return;
}
System.out.println(sb);
}
}
사실 모르겟시유... 잘 모르겠어서 큐 부분은 지피티 참고했다...

근데 웬 컴파일 에러란말입니께...
nextToken -> Toekn으로 오류난 거 찾음;;;
근데 고쳐도 안 됨!!!!!
import문 안 썼다
아 바본가?? 보고서 썼는데도 -1일 때(방문 안 했을 때) 방문해야하는데 != 써버림
이젠 런타임 에러....
아 미침 for문에 i++ 빼먹음;;;
import java.io.BufferedReader;
import java.io.IOException;
import java.io.InputStreamReader;
import java.util.StringTokenizer;
import java.util.List;
import java.util.ArrayList;
import java.util.Queue;
import java.util.LinkedList;
class Main {
public static void main(String[] args) throws IOException {
BufferedReader br = new BufferedReader(new InputStreamReader(System.in));
StringTokenizer st = new StringTokenizer(br.readLine());
int N = Integer.parseInt(st.nextToken()); // 도시의 개수
int M = Integer.parseInt(st.nextToken()); // 도로의 개수
int K = Integer.parseInt(st.nextToken()); // 거리 정보
int X = Integer.parseInt(st.nextToken()); // 출발 도시 번호
List<List<Integer>> graph = new ArrayList<>();
for (int i = 0; i < N + 1; i++) {
graph.add(new ArrayList<>());
} // 1번부터 시작하니까 +1 해서 초기화
for (int i = 0; i < M; i++){
st = new StringTokenizer(br.readLine());
int A = Integer.parseInt(st.nextToken());
int B = Integer.parseInt(st.nextToken());
graph.get(A).add(B); // 그래프에서 A 꺼내줘서 B 더해줌 A -> B
}
int[] distance = new int[N + 1]; // 거리 저장 배열
for (int i = 0; i < N + 1; i++) {
distance[i] = -1; // -1로 초기화
}
distance[X] = 0; // X -> X는 0이니께
Queue<Integer> queue = new LinkedList<>();
queue.offer(X);
while (!queue.isEmpty()) {
int current = queue.poll(); // 젤 최근에 넣은 애 빼자
for (int next : graph.get(current)) {
// 방문 안 했으면 거리 현재값에서 1 더해주기
if (distance[next] == -1) {
distance[next] = distance[current] + 1;
queue.offer(next);
}
}
}
boolean exist = false;
StringBuilder sb = new StringBuilder();
for (int i = 1; i <= N; i++) {
if (distance[i] == K) {
sb.append(i).append("\n");
exist = true;
}
}
if (!exist) {
System.out.println(-1);
return;
}
System.out.println(sb);
}
}

우여곡절 끝에 성공......
BFS와 다익스트라의 차이: 다익스트라는 가중치가 있을 경우!!!! 를 말한다고 한다.
'백준 풀기' 카테고리의 다른 글
| 백준 2075번: N번째 큰 수 with Java (0) | 2025.06.22 |
|---|---|
| 백준 11286번: 절댓값 힙 with Java (1) | 2025.06.21 |
| 백준 11279번: 최대 힙 with Java (0) | 2025.06.21 |
| 백준 1927번: 최소 힙 with Java (0) | 2025.06.21 |
| 백준 10819번: 차이를 최대로 with Java (2) | 2025.06.15 |