분류 전체보기 45

백준 1003번: 피보나치 함수 with Java

피보나치 함수 시간 제한메모리 제한제출정답맞힌 사람정답 비율0.25 초 (추가 시간 없음)128 MB249766806776394134.256%문제다음 소스는 N번째 피보나치 수를 구하는 C++ 함수이다.int fibonacci(int n) { if (n == 0) { printf("0"); return 0; } else if (n == 1) { printf("1"); return 1; } else { return fibonacci(n‐1) + fibonacci(n‐2); }}fibonacci(3)을 호출하면 다음과 같은 일이 일어난다.fibonacci(3)은 fibonacci(2)와 fibonacci(1) (첫 번째 ..

백준 풀기 2025.06.08

프로그래머스 단어 변환 with Java

문제 설명 두 개의 단어 begin, target과 단어의 집합 words가 있습니다. 아래와 같은 규칙을 이용하여 begin에서 target으로 변환하는 가장 짧은 변환 과정을 찾으려고 합니다. 1. 한 번에 한 개의 알파벳만 바꿀 수 있습니다. 2. words에 있는 단어로만 변환할 수 있습니다. 예를 들어 begin이 "hit", target가 "cog", words가 ["hot","dot","dog","lot","log","cog"]라면 "hit" -> "hot" -> "dot" -> "dog" -> "cog"와 같이 4단계를 거쳐 변환할 수 있습니다. 두 개의 단어 begin, target과 단어의 집합 words가 매개변수로 주어질 때, 최소 몇 단계의 과정을 거쳐 begin을 target으로..

카테고리 없음 2025.05.25

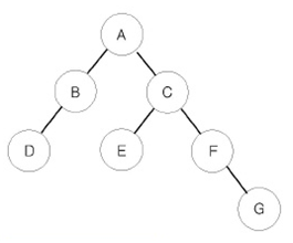
백준 1991번: 트리 순회 with Java

트리 순회 성공 시간 제한메모리 제한제출정답맞힌 사람정답 비율2 초128 MB70854462533556467.173%문제이진 트리를 입력받아 전위 순회(preorder traversal), 중위 순회(inorder traversal), 후위 순회(postorder traversal)한 결과를 출력하는 프로그램을 작성하시오.예를 들어 위와 같은 이진 트리가 입력되면,전위 순회한 결과 : ABDCEFG // (루트) (왼쪽 자식) (오른쪽 자식)중위 순회한 결과 : DBAECFG // (왼쪽 자식) (루트) (오른쪽 자식)후위 순회한 결과 : DBEGFCA // (왼쪽 자식) (오른쪽 자식) (루트)가 된다.입력첫째 줄에는 이진 트리의 노드의 개수 N(1 ≤ N ≤ 26)이 주어진다. 둘째 줄부터 N개의 ..

백준 풀기 2025.05.18

백준 2178번: 미로 탐색 with Java

미로 탐색 시간 제한메모리 제한제출정답맞힌 사람정답 비율1 초192 MB2382091119297005445.283%문제N×M크기의 배열로 표현되는 미로가 있다.101111101010101011111011미로에서 1은 이동할 수 있는 칸을 나타내고, 0은 이동할 수 없는 칸을 나타낸다. 이러한 미로가 주어졌을 때, (1, 1)에서 출발하여 (N, M)의 위치로 이동할 때 지나야 하는 최소의 칸 수를 구하는 프로그램을 작성하시오. 한 칸에서 다른 칸으로 이동할 때, 서로 인접한 칸으로만 이동할 수 있다.위의 예에서는 15칸을 지나야 (N, M)의 위치로 이동할 수 있다. 칸을 셀 때에는 시작 위치와 도착 위치도 포함한다.입력첫째 줄에 두 정수 N, M(2 ≤ N, M ≤ 100)이 주어진다. 다음 N개의 ..

백준 풀기 2025.05.11

백준 2606번: 바이러스 with Java

바이러스 시간 제한메모리 제한제출정답맞힌 사람정답 비율1 초128 MB2129341016876700646.275%문제신종 바이러스인 웜 바이러스는 네트워크를 통해 전파된다. 한 컴퓨터가 웜 바이러스에 걸리면 그 컴퓨터와 네트워크 상에서 연결되어 있는 모든 컴퓨터는 웜 바이러스에 걸리게 된다.예를 들어 7대의 컴퓨터가 과 같이 네트워크 상에서 연결되어 있다고 하자. 1번 컴퓨터가 웜 바이러스에 걸리면 웜 바이러스는 2번과 5번 컴퓨터를 거쳐 3번과 6번 컴퓨터까지 전파되어 2, 3, 5, 6 네 대의 컴퓨터는 웜 바이러스에 걸리게 된다. 하지만 4번과 7번 컴퓨터는 1번 컴퓨터와 네트워크상에서 연결되어 있지 않기 때문에 영향을 받지 않는다.어느 날 1번 컴퓨터가 웜 바이러스에 걸렸다. 컴퓨터의 수와 네트..

백준 풀기 2025.05.04

백준 1431번: 시리얼 번호 with Java

시리얼 번호 시간 제한메모리 제한제출정답맞힌 사람정답 비율2 초128 MB2038511612940257.851%문제다솜이는 기타를 많이 가지고 있다. 그리고 각각의 기타는 모두 다른 시리얼 번호를 가지고 있다. 다솜이는 기타를 빨리 찾아서 빨리 사람들에게 연주해주기 위해서 기타를 시리얼 번호 순서대로 정렬하고자 한다.모든 시리얼 번호는 알파벳 대문자 (A-Z)와 숫자 (0-9)로 이루어져 있다.시리얼번호 A가 시리얼번호 B의 앞에 오는 경우는 다음과 같다.A와 B의 길이가 다르면, 짧은 것이 먼저 온다.만약 서로 길이가 같다면, A의 모든 자리수의 합과 B의 모든 자리수의 합을 비교해서 작은 합을 가지는 것이 먼저온다. (숫자인 것만 더한다)만약 1,2번 둘 조건으로도 비교할 수 없으면, 사전순으로 비..

백준 풀기 2025.04.24

백준 18870번: 좌표 압축 with Java

좌표 압축 시간 제한메모리 제한제출정답맞힌 사람정답 비율2 초512 MB119386512543835040.100%문제수직선 위에 N개의 좌표 X1, X2, ..., XN이 있다. 이 좌표에 좌표 압축을 적용하려고 한다.Xi를 좌표 압축한 결과 X'i의 값은 Xi > Xj를 만족하는 서로 다른 좌표 Xj의 개수와 같아야 한다.X1, X2, ..., XN에 좌표 압축을 적용한 결과 X'1, X'2, ..., X'N를 출력해보자.입력첫째 줄에 N이 주어진다.둘째 줄에는 공백 한 칸으로 구분된 X1, X2, ..., XN이 주어진다.출력첫째 줄에 X'1, X'2, ..., X'N을 공백 한 칸으로 구분해서 출력한다.제한1 ≤ N ≤ 1,000,000-109 ≤ Xi ≤ 109예제 입력 1 복사52 4 -10 ..

백준 풀기 2025.04.22

백준 17478번: 재귀함수가 뭔가요? with Java

재귀함수가 뭔가요? 시간 제한메모리 제한제출정답맞힌 사람정답 비율1 초256 MB66139267372162739.221%문제평소에 질문을 잘 받아주기로 유명한 중앙대학교의 JH 교수님은 학생들로부터 재귀함수가 무엇인지에 대하여 많은 질문을 받아왔다.매번 질문을 잘 받아주셨던 JH 교수님이지만 그는 중앙대학교가 자신과 맞는가에 대한 고민을 항상 해왔다.중앙대학교와 자신의 길이 맞지 않다고 생각한 JH 교수님은 결국 중앙대학교를 떠나기로 결정하였다.떠나기 전까지도 제자들을 생각하셨던 JH 교수님은 재귀함수가 무엇인지 물어보는 학생들을 위한 작은 선물로 자동 응답 챗봇을 준비하기로 했다.JH 교수님이 만들 챗봇의 응답을 출력하는 프로그램을 만들어보자.입력교수님이 출력을 원하는 재귀 횟수 N(1 ≤ N ≤ 5..

백준 풀기 2025.04.21

백준 11866번: 요세푸스 문제 0 with Java

요세푸스 문제 0 시간 제한메모리 제한제출정답맞힌 사람정답 비율2 초512 MB96764554094640456.813%문제요세푸스 문제는 다음과 같다.1번부터 N번까지 N명의 사람이 원을 이루면서 앉아있고, 양의 정수 K(≤ N)가 주어진다. 이제 순서대로 K번째 사람을 제거한다. 한 사람이 제거되면 남은 사람들로 이루어진 원을 따라 이 과정을 계속해 나간다. 이 과정은 N명의 사람이 모두 제거될 때까지 계속된다. 원에서 사람들이 제거되는 순서를 (N, K)-요세푸스 순열이라고 한다. 예를 들어 (7, 3)-요세푸스 순열은 이다.N과 K가 주어지면 (N, K)-요세푸스 순열을 구하는 프로그램을 작성하시오.입력첫째 줄에 N과 K가 빈 칸을 사이에 두고 순서대로 주어진다. (1 ≤ K ≤ N ≤ 1,000..

백준 풀기 2025.04.20

백준 10866번: 덱 with Java

덱 시간 제한메모리 제한제출정답맞힌 사람정답 비율0.5 초 (추가 시간 없음)256 MB96070535144480956.180%문제정수를 저장하는 덱(Deque)를 구현한 다음, 입력으로 주어지는 명령을 처리하는 프로그램을 작성하시오.명령은 총 여덟 가지이다.push_front X: 정수 X를 덱의 앞에 넣는다.push_back X: 정수 X를 덱의 뒤에 넣는다.pop_front: 덱의 가장 앞에 있는 수를 빼고, 그 수를 출력한다. 만약, 덱에 들어있는 정수가 없는 경우에는 -1을 출력한다.pop_back: 덱의 가장 뒤에 있는 수를 빼고, 그 수를 출력한다. 만약, 덱에 들어있는 정수가 없는 경우에는 -1을 출력한다.size: 덱에 들어있는 정수의 개수를 출력한다.empty: 덱이 비어있으면 1을,..

백준 풀기 2025.04.20